Advertisement

Kontrak Kerja Freelance : Daftar Harga Kontrak Hukum Perjanjian Kerja Freelance Freelance Agreement Bhinneka - Saya pernah menandatangani dua sistem kontrak berbeda ketika menjadi freelancer.

Kontrak Kerja Freelance : Daftar Harga Kontrak Hukum Perjanjian Kerja Freelance Freelance Agreement Bhinneka - Saya pernah menandatangani dua sistem kontrak berbeda ketika menjadi freelancer.. Output pekerjaan 3d image full render pagi dan malam. Contoh surat perjanjian kontrak kerja freelance. 6 langkah mudah menjadi freelancer kami. Sebisa mungkin dicantumkan dengan jelas. Pekerja freelance tidak diharuskan ke kantor, melainkan bekerja dari rumah.

Saya pernah menandatangani dua sistem kontrak berbeda ketika menjadi freelancer. Tagline tersebut sebetulnya dapat disematkan pada para pekerja freelance yang biasanya bekerja di rumah, cafe atau tempat tongkongan lainnya. Kontrak kerja adalah hal paling penting dibuat sebelum memulai bekerja sebagai freelancer. Pekerja freelance perlu mengerti tentang kontrak kerja. Mehr als 80'000 stellen im portal.

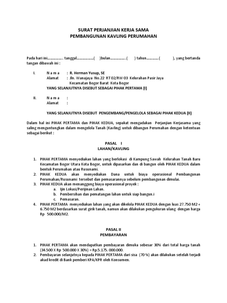
Surat Perjanjian Kontrak Kerja Freelance 2013 Cds Worldwide 2 638 Arc Si Tech
Surat Perjanjian Kontrak Kerja Freelance 2013 Cds Worldwide 2 638 Arc Si Tech from icculfakot.files.wordpress.com
Meskipun terlihat cukup fleksibel, namun pekerja freelance juga harus memiliki perjanjian kontrak yang jelas agar tidak. Jutaan orang menggunakan freelancer.com untuk mewujudkan ide mereka menjadi kenyataan. Maksud dari perjanjian melalui perantara ini bahwa di indonesia sendiri telah tersedia banyak platform yang mempertemukan antara pekerja freelance dengan pengguna, platform tersebut antara lain pjoject.id, sribulancer, fastwork dan sejenisnya. Pekerja lepas (freelance), merupakan hubungan hukum industrial yang dilandasi perjanjian kerja secara tertulis.hubungan industrial yang tidak tertulis, seketika demi hukum menjadi hubungan hukum perjanjian kerja waktu tidak tertentu—sehingga berhak atas pesangon serta hak normatif lainnya layaknya pekerja tetap. Surat perjanjian kontrak kerja freelance 2013 cds worldwide 1. Kontrak perjanjian freelance / kerja lepas contoh surat undangan club motor ssfc solo suzuki satria f150 club jl. Kontrak kerja freelance merupakan hal yang sangat penting. Pekerja freelance perlu mengerti tentang kontrak kerja.

Sebisa mungkin dicantumkan dengan jelas.

Contoh kontrak perjanjian freelance/ kerja lepas. Jadi untuk menghindari kesalahpahaman dan memastikan kerjasama yang menyenangkan, maka berikut ini 5 poin penting yang perlu kamu perhatikan dalam kontrak kerja freelance kreatif: Hire orang yang tepat untuk kebutuhan bisnis anda, dengan perjanjian kontrak kerja freelance yang baik, akan menguntungkan kedua belah pihak. 6 komponen yang terkandung dalam kontrak kerja karyawan. Desain perisai radiasi untuk nasa ini seharga $500 usd dikerjakan selama 15 hari. Dengan adanya surat, kedua belah pihak harus mampu menjalankan hak serta kewajibannya dengan baik dan sesuai. Freelance itu sendiri memiliki pengertian yaitu tenaga lepas atau pekerja lepas. Menyiapkan kontrak untuk pekerjaan freelance anda. Maksud dari perjanjian melalui perantara ini bahwa di indonesia sendiri telah tersedia banyak platform yang mempertemukan antara pekerja freelance dengan pengguna, platform tersebut antara lain pjoject.id, sribulancer, fastwork dan sejenisnya. Sleekr april 17, 2018 human resources (hr) dalam dunia kerja, karyawan yang bekerja di dalam perusahaan biasanya tidak hanya terdiri dari karyawan tetap. Aturan hak dan kewajiban karyawan freelance. Saya sudah freelancing selama sepuluh tahun dan tidak pernah mendapati klien yang tidak membayar, sama sekali belum pernah mengubah lingkupan proyek, atau berbuat kekacauan di sekitar saya. Desain aplikasi seluler ini seharga $1500 usd dikerjakan selama 20 hari.

Mehr als 80'000 stellen im portal. Freelance juga berarti pekerja lepas yang biasanya dilakukan seseorang tanpa adanya ikatan kontrak dengan perusahaan tertentu, dan pekerjaan. Menerangkan pemberi kerja serta karyawan. Pekerja lepas (freelance), merupakan hubungan hukum industrial yang dilandasi perjanjian kerja secara tertulis.hubungan industrial yang tidak tertulis, seketika demi hukum menjadi hubungan hukum perjanjian kerja waktu tidak tertentu—sehingga berhak atas pesangon serta hak normatif lainnya layaknya pekerja tetap. Tagline tersebut sebetulnya dapat disematkan pada para pekerja freelance yang biasanya bekerja di rumah, cafe atau tempat tongkongan lainnya.

Panduan Kontrak Kerja Untuk Freelancer Sindikasi
Panduan Kontrak Kerja Untuk Freelancer Sindikasi from www.sindikasi.org
Contoh surat perjanjian kontrak kerja freelance. Tenaga kerja kontrak atau bisa juga disebut sebagai pegawai kontrak adalah mereka atau tenaga kerja yang direkrut oleh suatu perusahaan dalam kurun waktu tertentu. Di model kontrak pertama sebenarnya sukanya tidak begitu kentara. Catatan diskusi kontrak kerja freelance di industri media dan kreatif bekerja sebagai pekerja lepas atau freelance sudah menjadi tren di era ekonomi digital saat ini. Maksud dari perjanjian melalui perantara ini bahwa di indonesia sendiri telah tersedia banyak platform yang mempertemukan antara pekerja freelance dengan pengguna, platform tersebut antara lain pjoject.id, sribulancer, fastwork dan sejenisnya. Untuk menjaga hubungan kerja dalam periode tertentu, dibutuhkan surat perjanjian resmi yang mengikatnya. Surat perjanjian kontrak kerja freelance 2013 cds worldwide 1. Di kelas ini akan kita bahas dari awal tentang bagaimana caranya membuat kontrak kerja agar kita bisa bekerja lebih nyaman, mendapatkan bayaran pasti, dan juga professional.

Siapkan portfolio dengan informasi pekerjaan profesional anda, dan pekerjaan anda akan diperiksa dalam waktu 48 jam.

Hire elite freelancers who are experts in their domain, on a flexible project basis. Saya pernah menandatangani dua sistem kontrak berbeda ketika menjadi freelancer. Catatan diskusi kontrak kerja freelance di industri media dan kreatif bekerja sebagai pekerja lepas atau freelance sudah menjadi tren di era ekonomi digital saat ini. Satu tahun yang lalu, tepatnya 31 maret 2018, saya mengambil keputusan untuk berhenti bekerja dari sebuah perusahaan manufaktur di tangerang. Sleekr april 17, 2018 human resources (hr) dalam dunia kerja, karyawan yang bekerja di dalam perusahaan biasanya tidak hanya terdiri dari karyawan tetap. Terlebih apabila perusahaan tersebut sudah memiliki skala yang cukup besar. 5 contoh kontrak kerja karyawan freelance. Menyiapkan kontrak untuk pekerjaan freelance anda. Selain itu, juga untuk mencegah adanya kesalahpahaman antara anda dan klien ketika pekerjaan telah selesai. Nah, orang yang melakukan freelance ini disebut sebagai freelancer. Menjelaskan status, tugas, serta tanggung jawab pelamar kerja. Surat perjanjian kontrak kerja freelance 2013 cds worldwide 1. Freelance juga berarti pekerja lepas yang biasanya dilakukan seseorang tanpa adanya ikatan kontrak dengan perusahaan tertentu, dan pekerjaan.

Ternyata banyak yang mengalami hal serupa: Catatan diskusi kontrak kerja freelance di industri media dan kreatif bekerja sebagai pekerja lepas atau freelance sudah menjadi tren di era ekonomi digital saat ini. Sleekr april 17, 2018 human resources (hr) dalam dunia kerja, karyawan yang bekerja di dalam perusahaan biasanya tidak hanya terdiri dari karyawan tetap. Di kelas ini akan kita bahas dari awal tentang bagaimana caranya membuat kontrak kerja agar kita bisa bekerja lebih nyaman, mendapatkan bayaran pasti, dan juga professional. Desain aplikasi seluler ini seharga $1500 usd dikerjakan selama 20 hari.

Pekerja Freelance Perlu Mengerti Tentang Kontrak Kerja Halaman 1 Kompasiana Com
Pekerja Freelance Perlu Mengerti Tentang Kontrak Kerja Halaman 1 Kompasiana Com from assets-a1.kompasiana.com
Finde die neuesten jobs immer und überall. Contoh kontrak perjanjian freelance/ kerja lepas. Freelance juga berarti pekerja lepas yang biasanya dilakukan seseorang tanpa adanya ikatan kontrak dengan perusahaan tertentu, dan pekerjaan. Untuk menjaga hubungan kerja dalam periode tertentu, dibutuhkan surat perjanjian resmi yang mengikatnya. Di model kontrak pertama sebenarnya sukanya tidak begitu kentara. Toptal's unique screening process ensures you'll only hire people with exceptional skills Contoh surat perjanjian kontrak kerja freelance. Menyiapkan kontrak untuk pekerjaan freelance anda.

Pekerja freelance tidak diharuskan ke kantor, melainkan bekerja dari rumah.

Contoh kontrak kerja freelance, 7 poin ini harus ada! Meskipun terlihat cukup fleksibel, namun pekerja freelance juga harus memiliki perjanjian kontrak yang jelas agar tidak. Pekerja lepas (freelance), merupakan hubungan hukum industrial yang dilandasi perjanjian kerja secara tertulis.hubungan industrial yang tidak tertulis, seketika demi hukum menjadi hubungan hukum perjanjian kerja waktu tidak tertentu—sehingga berhak atas pesangon serta hak normatif lainnya layaknya pekerja tetap. 15 / 11 / 2014. Hire orang yang tepat untuk kebutuhan bisnis anda, dengan perjanjian kontrak kerja freelance yang baik, akan menguntungkan kedua belah pihak. Menerangkan pemberi kerja serta karyawan. Apa saja yang termasuk dalam pekerjaan dan apa yang tidak termasuk. 6 langkah mudah menjadi freelancer kami. Arti freelance sendiri ialah pekerjaan yang biasa dilakukan seseorang denga cara mandiri, tak terikat perjanjian atau kontrak kerja waktu tertentu dengan orang atau perusahaan yang mempekerjakannya. Tenaga kerja kontrak atau bisa juga disebut sebagai pegawai kontrak adalah mereka atau tenaga kerja yang direkrut oleh suatu perusahaan dalam kurun waktu tertentu. Pekerja freelance tak terikat kontrak dan tempat untuk menyelesaikan pekerjaan. Akhmad ramanda hadi putra : Selanjutnya dari sisi macam perjanjian kerja yang dilakukan oleh freelance setidaknya terbagi atas kategori berikut ini.

Arti freelance sendiri ialah pekerjaan yang biasa dilakukan seseorang denga cara mandiri, tak terikat perjanjian atau kontrak kerja waktu tertentu dengan orang atau perusahaan yang mempekerjakannya kontrak. kerja. Menyiapkan kontrak untuk pekerjaan freelance anda.

Posting Komentar

0 Komentar